问题 D: 编程课

问题 D: 编程课

时间限制: 1Sec 内存限制:128 MB
提交:335 解决:61
[ 状态] [ 讨论版] [ 提交] [命题人: ]
题目描述

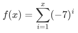
算法课上,老师给出了这样一个函数:


老师希望同学们通过编程计算出这个函数从第1项到第n项的和。

有同学通过如下的代码,计算出了答案:

#include int main() { int n; scanf("%d", &n); int ans = 0; for(int i = 1; i <= n; ++i) { int times = 1; for(int j = 1; j <= i; ++j) { times *= -7; } ans += times; } printf("%d\n", ans); return 0; }

相信聪明的你已经发现了,这位同学的答案是错误的。

请你编写出正确的代码,计算并告诉这位同学他的答案与正确答案的差为多少。

输入
一行中包含一个整数 n ( 1n10 ) ,具体含义见题面。
输出
一行中输出一个整数,即这位同学的答案与正确答案的差。
样例输入 Copy
1
样例输出 Copy
0