在 线 评 测 系 统
Toggle navigation
ZZULIOJ
常见问答
讨论版
题目列表
来源/分类
状态
排名
竞赛
考试&作业
Login
问题2932--小A的方程题
2932: 小A的方程题
时间限制:
1
Sec
内存限制:
128 MB
提交:
149
解决:
124
[
状态
] [
讨论版
] [
提交
] [命题人:
]
题目描述
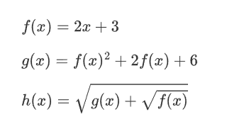
小A碰到了一道方程题,他认为很简单,但他懒得计算,请你编写程序,给定一个自变量x,计算出方程h(x)的值,输出保留小数点后三位。
输入
一行输入一个整数x,代表自变量的值 (1<= x <= 1000).
输出
输出方程h(x)的值,保留到小数点后三位
样例输入
Copy
2
样例输出
Copy
8.464
来源/分类