问题3091--ForTomorrow 的九宫格(Easy版本)

3091: ForTomorrow 的九宫格(Easy版本)

时间限制: 1Sec 内存限制:128 MB
提交:384 解决:262
[ 状态] [ 讨论版] [ 提交] [命题人: ]
题目描述
九宫格游戏规则,1 至 9 九个数字,横竖都有 3 个格,思考怎么使每行、每列两个对角线上的三数之和都等于 15。
但是 ForTomorrow 决定简化九宫格的游戏规则,将 9 X 9 的矩阵修改成 4 X 4矩阵 A,然后现在你需要求一个新的 4 X 4矩阵 B,使得 矩阵 B上的元素等于 矩阵 A中对应元素周围的九宫格(3 X 3)的数字之和, 同时规定九宫格外的值都为 0

如图所示



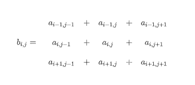
正式的说:用 b i, j表示 矩阵 B上第 i 行第 j 列的元素的值, a i, j 表示 矩阵 A 上第 i 行第 j 列的元素的值,你需要构造一个矩阵 B使得

其中当 a i, j 中 i 或 j 中有一个下标大于 4 或 小于 1 时,ai, j= 0

但是 ForTomorrow 认为这样子也太简单了,所以将矩阵 A数字从 1 ~ 9 变成了 -100 ~ 100 ,不过这可难不倒计算机,这样子简单的加法计算机不到 1s 就计算出来啦!
输入
输入一个 4 X 4 的 矩阵 A,其中的每个元素为 ai, j ,每个元素之间用空格隔开
保证 -100 <= a i, j <= 100
输出
输出一个 4 X 4 满足题目条件的 矩阵 B ,其中每行元素之间用一个空格隔开
样例输入 Copy
1 2 3 4 1 2 3 4 -1 -2 -3 -4 -1 -2 -3 -4
样例输出 Copy
6 12 18 14 3 6 9 7 -3 -6 -9 -7 -6 -12 -18 -14
来源/分类